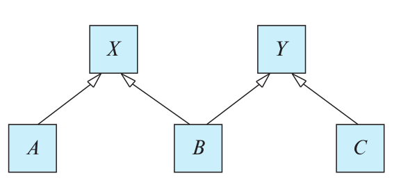
Consider the following lattice structure of generalization and specialization (attributes are not shown).

For entity sets , , and , explain how attributes are inherited from the higher level entity sets and . Discuss how to handle a case where an attribute of has the same name as some attribute of .


inherits all the attributes of , plus it may define its own attributes. Similarly, inherits all the attributes of plus its own attributes. inherits the attributes of both and . If there is some attribute name which belongs to both and , it may be referred to in by the qualified name .name or .name.