RSA ElGamal
[[Cryptography and Network Security.pdf#page=343&rect=174,120,525,305|]]
Known Plaintext Attack

ECC
P + Q
[[Cryptography and Network Security.pdf#page=349&rect=270,200,446,232|]]
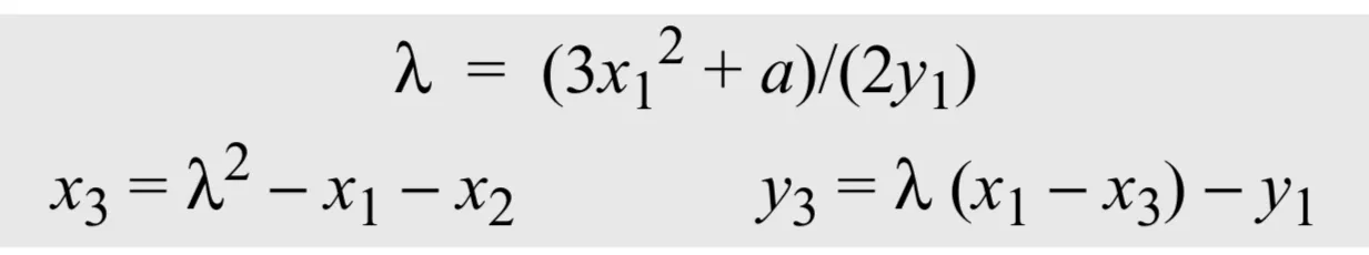
2P
[[Cryptography and Network Security.pdf#page=349&rect=271,112,447,145|]]
ECC ElGamal

[[Cryptography and Network Security.pdf#page=354&rect=160,365,505,571|]]